大吕电力

输变电防污闪解决方案供应商

研发,生产,施工,运维一体化服务

  • 咨询服务热线:18522647548
他们都在搜: 硅橡胶增爬伞裙硅橡胶伞裙生产厂家有机硅涂料室温硫化硅橡胶

大吕电力标准化工程团队,安全来自长期警惕,关注每一个施工细节,从未出现事故安全之选
当前位置:首页 » 大吕电力资讯中心 » 根栏目 » 电力行业常用计量单位使用规则

电力行业常用计量单位使用规则

文章出处:责任编辑:查看手机网址
扫一扫!电力行业常用计量单位使用规则扫一扫!
人气:-发表时间:2017-10-10 16:53【

1

一、对于各种计量单位,大、小写字母的使用规则是有严格规定的:


1、凡是来源于人名字的单位符号第一个字母必须用大写字母,如:Hz(赫兹)、V(伏特)、A(安培)、Pa(帕斯卡)等; 


2、非来源于人名字的单位符号除一个特例外,就是表示"升"的符号,在容易与阿拉伯数字1混淆的场合必须用大写字母L,如5升必须写成5L,而在不容易与阿拉伯数字1混淆的场合,大写与小写均可以,如5毫升可以写成5ml。其它一律用小写字母,如:m(米)、g(克)、s(秒)等; 


3、表示倍率关系的头字母使用也有严格规定,例如表示一千必须用小写的 k,而不应当用大写的K,有的用错了还会引起岐义,例如mW(毫瓦)、与MW(兆瓦)、mΩ(毫欧)与MΩ(兆欧)、Nm(牛顿米,力矩单位)与nm(纳米,长度单位)等。


2

二、 电力行业常用到的一些计量单位:          


1、电压kV、电阻kΩ、电流mA、μA、A、kA、有功功率kW、无功功率kvar、视在功率kVA、电容p、μF、F、频率Hz等。其中的k、m、μ、var、p、z均为小写字母,其余为大写字母。         

2、MΩ、MW、Mvar、MVA、MPa中的“兆”为大写字母“M”。

3

三、电力常用计量单位符号标准


单位名称

标准符号

错误符号

W


千瓦

kW

KW,kw

V


千伏

kV

KV,kv

千瓦时

kWh

KWH,kwh

千伏安

kVA

KVA

兆伏安

MVA


赫兹

Hz

HZ

毫米

mm

MM

厘米

cm

CM

m

M

千米

km

KM

g

G

千克

kg

KG


4

四、电能质量行业中常用到的符号  


5

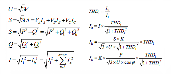
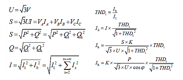
五、电能质量行业中常用到的公式及其例子  



例二:


相关资讯

大吕电力

天津大吕电力科技股份有限公司版权所有地址:天津市红桥区光荣道宝能中心8A楼 电话:<18522647548> 传真:022-87746189邮箱:tjdalv@163.com津ICP备09010380号 网站制作:牛商网(股票代码:830770) 普通举报热线:022-87746185 未成年人举报热线:022-87746185

二维码大吕电力